Figur 4. Tidsafhængighed af matrixlattikkonstanten, erhvervet ved in situ XRD-målinger i 700 ◦ C. Vi observerede et monotonisk fald i gitterparameteren, hvilket indikerer, at tunge elementer såsom Nb og Mo gradvist differ fra det faste stof-Opløsningsmmatrix og bidrage til nukleation og vækst af den 948;fase. Den usikkerhed, der er rapporteret i dette tal, og i det følgende udgør en standard daviation, medmindre andet er angivet.
Desuden er ændringen i matrixlattikparameteren for et fast stof-Opløsningslegering er forbundet med omfanget af nedbør [40]. I AM IN625 er forskellen i matrixgitterparametrene før og efter en 10 h varmebehandling i 870 ◦ C var ≈ 0.0042197; [21]. Sammenlignet med det ændrede lattikparameter ≈ 0.0015197; efter en 10.5 h-varmebehandling i 700 ◦ C, der antyder betydeligt mindre udfældning af948-fasen i dette temperamenture.
IN625, som udformet, er en enkelt-valle af faselegeringe Styrken stammer hovedsageligt fra den faste opløsning, der styrker Mo, Nb og Cr [1]. Hvedee Da udtømning af Mo og Nb fra matricen forventes at reducere styrken, kan dannelsen af nedbør kompensere for denne reduktion og øge IN625's samlede styrke. F.eks. når den maksimale h årdhed efter en 170 h-varmebehandling i 700 ◦ C, som erhovedsagelig på grund af udfældningen af947;8221; fase, en prækursor til948;fase [41]. På samme måde øger udfældningen af948-fasen også den samlede styrke og reducerer duktiviteten [37]. For AM IN625 er der behov for en systematisk vurdering af virkningen af varmebehandling på mekaniske egenskaber over en række temperaturer....
Under varmebehandlingen ændres også enhedscellen i948-fasen. Figur 5 illustrerer denne ændring. Blandt de tre ortorhombiske lattikparametre (figur 5a 8211c) er to næsten konstante ≈ 5.108197og ≈ 4.232197 Det tredje gitterparameter viser en monotonisk stigning fra ≈ 4.482 til ≈ 4.488197 Det er kendt, at den lange akse i948-fasen nærmer sig-retninger, der er pakket i FCC-matrixen, og crystallografiske orienteringer mellem FCC-matrixen og 948fase, følger {111} FCC//(100)948;og FCC//[100]9488; Ud fra dette udleder vi, at udbredelsen af Nb og Mo også er retningsbestemt. Da Mo-diffusion fra matrixen til948;fasen forekommer langsommere end Nb [42], kan denne retningsmæssige diffusion føre til en ændring i 94888fase kemi og en stigning i enhedscellevolumen, som vist i figur 5d.
Figur 5. (a8211c) Tidsafhængighed af de tre gitterparametre i de9488;fasebundfald, erhvervet ved in situ XRD-målinger i 700 ◦ C. (d) Mængden af enhedscellen i 9488;fasens nedbør...
In situ SAXS-data, der er indsamlet med samme prøvevolumen under den isotermiske varmebehandling, giver også mulighed for at undersøge den statistisk signifikante omdannelseskinetik af materialets8217s mikrostruktur. Figur 6 viser det komplette datasæt, hvor USAXS- data er det vigtigste plot og SAXS- data, der er vist i Insit. For konsistens er spredte data farve-kodet med samme farveskala som XRD- data i figur 3. De spredte data har tre mærkbare egenskaber. For det første for det meget lave-q del af de spredte data ( ≈ 1215; 10 − 4197 − 1 til ≈ 4 215; 10 − 4197 − 1), vi observerede en magt-lovhældning, der ikke ændrer sig som funktion af tiden. Vi tilskriver denne funktion til kornet Spredning, som svarer til tidligere arbejde med Ni-superlegeringer baseret [21,43] og aluminium legeringer [44,45]. Kornvæksten i IN625 er minimal for temperaturer under 900 ◦ C [46]. Derfor forventes kornspredning at være stabil, hvilket er i overensstemmelse med forsøgsobservationer. For det andet iagttog vi en monotonisk stigning i spredningsintensiteten mellem ≈ 4 215; 10 − 4197 − 1 og ≈ 0.01197 − 1,navnlig med to Guiniere-regioner nær 221510 − 3197 − 1 og 8 215; 10 − 3197 − 1,henholdsvis. Eftersom in situ XRD-data og ex situ SEM-billeder kun viser 9488;fase nedbør, tilskriver vi dette spredningssignal til 948;fase. Tidligere mikroskopiske undersøgelser har vist, at9488;fasebundfald er blodplader med to karakteristiske størrelser [10,21,47], hvilket er i overensstemmelse med observation af to Guiniere regioner i de spredte data. Endelig er de SAXS-data, der er vist i inset, simple udvidelser af den høje q-effekt.-lovhældning i USAXS-data Dvs. at SAXS-dataene ikke indeholder yderligere oplysninger, hvilket tyder på, at der ikke er yderligere nm-udfældninger, der dannes under denne varmebehandling.
Figur 6. In situ SAXS data om AM IN625 erhvervet under isotermisk varmebehandling i 700 ◦ C for 10.5 h. Hovedplottet og inset viser henholdsvis USAXS- og SAXS-data. Erhvervelsestiden er farve-kodet efter tidspilen. USAXS- intensiteten er spaltet-plettet...
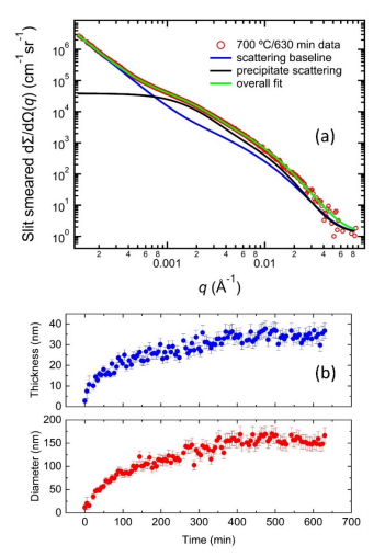
Vi byggede en spredningsmodel, der beskriver de spredte data på grundlag af disse observationer, som illustreret i figur 7a. Som eksempel består denne model af to komponenter ved hjælp af USAXS-data fra 630 min i in situ-forsøget. Den første komponent er den bredningsbaseline, som opnås på samme prøvevolumen ved stuetemperatur før varmebehandlingen. Den anden komponent repræsenterer den overskydende spredning, der stammer fra udfældningen af den948;fase. Som fastslået tidligere [21] beskrev vi denne overskydende spredning ved hjælp af en analysemetode, der er analog med den forenede lille vinkel fordelingsmetode med to bredningsniveauer [48]. Sammen, disse to-komponentmodellen beskriver data på situ SAXS godt gennem hele datasekvensen...
Figur 7. a) En illustration af den SAXS-model, der anvendes i dette arbejde. Dataene blev indhentet ved 630 min under varmebehandlingen i 700. ◦ C. Oversvømmelsesspredning består af to dele: (1) bredningsbaseline og (2) overskudsspredning fra udfældelsesfasen 948; b) Tidspunktet-en afhængig udvikling af middeldiameter (større dimension) og tykkelse (mindre dimension) i de9488;faseudfældninger...

Jobtitel: Product manager
Afdeling: Market Department
Firma Telefon: +86 021-59150215
E-mail: Kontakt os
Mobiltelefon: +86 13817160919
Internet side: lanzhusuperalloy.danb2b.com
Adresse: No. 2800 Caoxin Road, Xuhang Town, Jiading District, Shanghai